Future of NA DataNicholas Tierney
Telethon Kids Institute
rstudio::conf(2022)
I fully hate missing data. It disrupts your data analysis, because you need to stop, and work out how much is missing, and think: why it is missing, why!?
I
redactedhate missing data. Itredactedyour data analysis. Becauseredacted, and work out howredactedis missing and think: whyredactedredactedredactedwhy!?
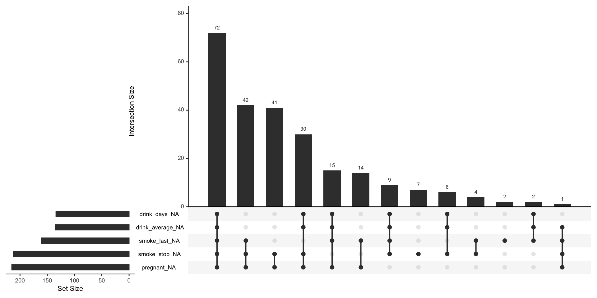
Explore missing data: Overview –> Relationship
Brief tour of missing data visualisations.

Warning: Removed 171 rows containing missing values (geom_point).



gg_miss_fct()geom sgeom_miss_histogram()geom_imputed_point()Nicholas Tierney & Allison Horst
presence